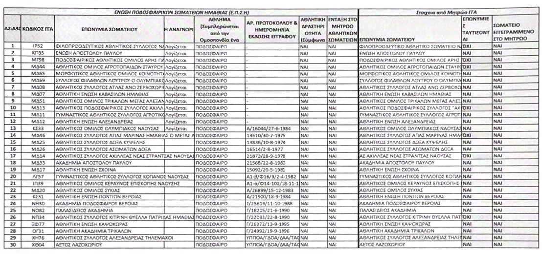
Δημοσιεύτηκε ο Επικυρωμένος Κατάλογος Μελών, εχόντων δικαίωμα συμμετοχής και ψήφου στην επικείμενη Γ.Σ. της ΕΠΣ Ημαθίας.
Η Γενική Συνέλευση και οι εκλογές θα γίνουν την Κυριακή 29 Μαρτίου 2021.
Διαβάστε:


Δημοσιεύτηκε ο Επικυρωμένος Κατάλογος Μελών, εχόντων δικαίωμα συμμετοχής και ψήφου στην επικείμενη Γ.Σ. της ΕΠΣ Ημαθίας.
Η Γενική Συνέλευση και οι εκλογές θα γίνουν την Κυριακή 29 Μαρτίου 2021.
Διαβάστε:


Αφήστε μια απάντηση